SERVICE PHONE
363050.com发布时间:2025-09-16 05:47:34 点击量:
AG娱乐,AG真人,AG平台,AG旗舰厅,AG视讯,AG娱乐平台,真人视讯平台,首存送彩金目前,在实验室制备出的块体非晶合金的种类已达几百种,包括Pd、Pt、Au、Ce、Mg、Fe、Ti、Cu、Ni、Co及Zr基等不同合金体系。由于Zr-Cu基非晶合金具有较强的形成能力,以及优异的力学性能和抗腐蚀等性能,有望成为一种新型的结构材料。《加热方式对Zr48Cu36Ag8Al8块体非晶合金晶化机制的影响》一文以深共晶成分中最大临界尺寸可达25mm的Zr48Cu36Ag8Al8非晶合金(无毒副作用元素)为研究对象,系统分析在不同加热方式下Zr48Cu36Ag8Al8非晶合金晶化行为的差异,以便为后续开发非晶合金的实践应用作铺垫。本文的作者为西京学院的孙琳琳博士。
采用铜模吸铸法制备了Zr48Cu36Ag8Al8块体非晶合金,并利用同步示差扫描量热仪(DSC)对其晶化动力学进行研究。
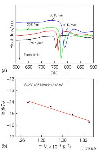
晶化激活能是表征非晶合金热稳定性的重要参数,其数值的大小代表着非晶合金发生晶化的难易程度,即非晶合金中原子从无序向有序转变时所需的能量。也就是说,非晶合金晶化激活能越大,其热稳定性越好。图1(a)为不同升温速率条件下获得的Zr48Cu36Ag8Al8非晶合金的DSC曲线非晶合金的DSC曲线上有一个放热峰,其峰值温度在748~898K的范围内。随着升温速率的增加,晶化峰逐渐右移,其过冷液相区宽度逐渐增加。由于此相变过程为恒速升温过程,其结晶过程激活能可通过Kissinger方法计算获得:
式中,C为常数;β为加热速率;Ex为晶化激活能;R为气体常数;Tp为DSC曲线上任意峰的放热量最大处所对应的温度,不同的加热速率β对应不同的Tp值。通过绘制ln(β/Tp2)-1/Tp图并进行线性拟合,其直线斜率即为表观晶化激活能。根据DSC曲线提供的特征温度,获得Kissinger曲线(b)所示。利用该图得到的晶化激活能约为239kJ/mol。
无论是等温或非等温过程,扩散型固态相变均是由形核、生长共同控制的。当原子获得一定能量时,非晶合金将向稳定的晶体相进行转变。经典JMA模型能够成功用于描述由形核、生长控制的各种固态相变过程,如式(2)。因此,该模型也可以用于分析非晶合金的晶化动力学。
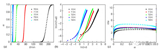
图2为Zr48Cu36Ag8Al8非晶合金在过冷液相区内不同温度(703~743K)的等温DSC曲线。可以看出,不同温度的等温DSC曲线均先经历一段孕育期,然后向晶化态进行转变。孕育时间与等温晶化时间随着退火温度升高而缩短,说明非晶合金内部原子的移动性随着温度的升高而增加,内部微结构波动增大,使其更容易向晶化态进行转变。通过计算发现在不同温度下获得的晶化焓基本相同,说明该合金的晶化反应遵循典型的形核-长大模式。根据DSC曲线)可以获得晶化体积分数α:
其中,t为等温时间;t0和t∞分别为晶化开始时间和晶化结束时间;dHc/dt为DSC曲线,A∞分别为DSC曲线下积分面积。根据经典JMA转变动力学关系式,可以获得等温晶化体积分数与等温退火时间关系曲线(a)所示。可以看出,随着温度的升高,晶化速度加快,所有的曲线均呈现S形变化。对方程(2)两边分别取双对数,可得出Avrami指数n值及其他动力学参数。根据扩散控制的生长动力学理论,形核与生长行为可通过指数n进行分析。在整个时间段n是一个随时间变化而变化的函数,如图3(b)所示。因此,引入局域Avrami指数公式:
图3(c)为不同温度下局域Avrami指数n与晶化体积分数α的关系曲线。Avrami指数n随着非晶合金中纳米晶体积分数的增加而迅速增加到一定值,随后缓慢下降。在703~733K温度区间内,当晶化体积分数α在10%~90%范围内,瞬时变化的n值为3<n<4,意味着形核速率随着时间的增加而下降,以界面控制方式生长;当晶化体积分数α达到90%时,形核速率以扩散控制方式生长。当晶化体积分数α达到90%以上时,瞬时变化的n值意味着形核速率随着时间增加而下降,其生长方式不变。然而当在743K等温退火时,发现当晶化体积分数α在10%~90%范围内时,瞬时变化的n>4,意味着形核速率随着时间的增加而增大。同时,也说明该非晶合金的晶化行为对温度较为敏感。
图3 Zr48Cu36Ag8Al8非晶合金不同温度下的晶化体积分数(a)、Avrami曲线(b)和Avrami指数(c)
其中,t1为常数;R为气体常数;T为晶化温度;Ea为等温晶化激活能;t(α)为晶化体积分数为α的时间。由公式(5)可获得等温条件下不同晶化体积分数的激活能曲线所示。等温过程的晶化激活能随着体积分数的增加基本为一定值,其平均值为341.2kJ/mol。与非等温晶化激活能(239kJ/mol)相比较,等温晶化激活能要远大于非等温晶化激活能,此差值主要归因于高温区与低温区的晶化机制差异。在连续升温过程中温度越高,非晶合金内部微结构波动就越大,其发生相变所需要的能量较低;而等温晶化过程均在过冷液相区内实现,非晶合金先经历一段孕育期,再发生相变,所以发生相变时所需要的能量较高。通过对比晶化产物的组织相貌(图5)可以发现:等温过程形成的为枝晶状组织,生长速率将由生长前沿的扩散行为控制,因此其长大模型为界面控制,JMA指数(即Avrami指数n)为3~4;连续升温过程为球状颗粒,其生长速率主要是体扩散控制,JMA指数为1.5~2.5。
图4 Zr48Cu36Ag8Al8Zr48Cu36Ag8Al8非晶合金等温条件下的激活能曲线非晶合金的微观组织
返回搜狐,查看更多平台声明:该文观点仅代表作者本人,搜狐号系信息发布平台,搜狐仅提供信息存储空间服务。
